我校数理学院林佳教授课题组近日在Physical Review B上发表了题为“Cationic perturbation strategy to solve the information drought in material explainable machine learning”的研究论文。Physical Review B是国际凝聚态物理领域公认的顶级期刊。
人工智能对技术革新和产业进步具有决定性作用。材料基因组计划(Material Genome Initiative, MGI)代表了凝聚态物理研究的新趋势,其中揭示材料的构效关系的深层次物理机理是核心任务之一。可解释机器学习(Explainable Machine Learning, XML)作为一种重要工具,常被用于阐明这种关系。然而,当前许多材料的数据收集不足,限制了XML的广泛应用。材料物理属性数据的获取成本高昂,如何采集大量且高质量的数据成为了主要挑战。
针对这一问题,课题组首次提出了“信息荒”概念和阳离子微扰策略,选取尖晶石氧化物的带隙属性作为研究样本,在数据极度匮乏的情况下,成功揭示了影响带隙的关键物理参数,为在信息受限环境下研究材料提供了新的视角和方法。

图1. 尖晶石结构和数据库的建设情况
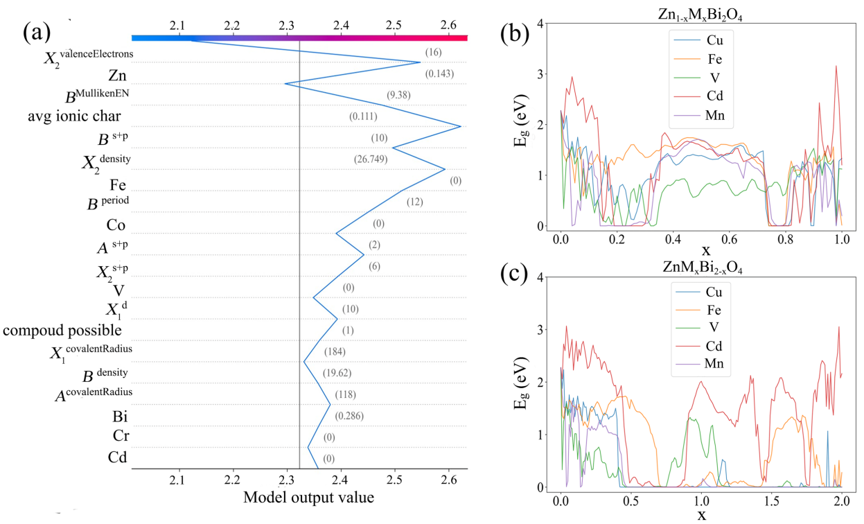
研究发现,尖晶石氧化物的带隙与平均离子特性(Average Ionic Character, AIC)、B位的电负性以及阳离子的总价电子数等几个关键物理参数密切相关。具体来说,B位电负性和阳离子总价电子数的增加往往导致带隙变窄,而AIC的提高则可能导致带隙增宽。最终,本研究通过对称性信息构建的注意力神经网络,成功实现了尖晶石氧化物带隙调控工程,预测结果与实验结果高度吻合。本研究工作不仅实现了对材料物理性能的精准调节,也验证了在阳离子微扰策略下通过XML揭示的构效关系的科学有效性。

图2. 尖晶石氧化物的带隙调控工程和物理机理研究
这项研究在凝聚态物理和机器学习交叉领域是一个重大突破。阳离子微扰策略不仅可以解决XML面临的数据短板,还可以指导材料掺杂改性的工作方向。这一研究为新型能源材料的开发和优化开辟了新的途径,并对其物理属性的依赖关系提供了更深入的理解,对于指导未来凝聚态物理和机器学习交叉领域的实验和理论研究至关重要。
上述研究工作由林佳教授课题组、吴江教授课题组以及上海交通大学陈险峰教授课题组共同合作,文章第一作者为数理学院硕士研究生陈正鑫,上海电力大学为第一署名单位。上述研究得到国家自然科学基金及国家重点研发计划等项目支持。
论文链接:https://link.aps.org/doi/10.1103/PhysRevB.109.085306
数理学院 供稿